Suunto Ocean 使用者指南
無線氣瓶壓力支援
Suunto Ocean可與 Suunto Tank POD 一起使用,以無線方式傳輸氣瓶壓力與氣體消耗至潛水電腦。Suunto Ocean僅與 Suunto Tank POD 傳輸器相容。Suunto Tank POD 使用 123 kHz 頻段傳輸數據。從 Tank POD 到潛水電腦的通訊是單向的,這意味著潛水電腦不會將任何資訊傳輸到 Tank POD。
當 Suunto Ocean 與 Suunto Tank POD 配對時啟用的功能:
最多 5 個氣瓶的氣瓶壓力
當前使用氣體的實際氣體消耗(升/分 或 立方英尺/分)
當前使用氣體的剩餘氣體時間
可配置的氣瓶壓力警報
開始、結束和已使用氣壓的記錄
使用 Tank POD 記錄每種氣體的平均氣體消耗
以 bar 或 PSI 表示的單位
如何安裝及連結 Suunto Tank POD
若要安裝及配對 Suunto Tank POD :
請依照《Tank POD 快速指南》或《Tank POD 使用者指南》中的說明來安裝 Tank POD。
注释:為確保最準確的氣瓶壓力讀數, Suunto 建議您將 Suunto Tank POD 與 Suunto Ocean 佩戴於同一側。
- 安裝 Tank POD 並開啟閥門後,請等待 Tank POD 上的綠色 LED 燈開始閃爍。
- 前往 潛水選項 下方的 Tank POD 選單。如果您的 Tank POD 已啟用且在範圍內,您會看到 Tank POD 序號列出。
- 選擇正確的 Tank POD 並檢查其電池狀態和氣瓶壓力。
- 從列表中選擇要與 Suunto Tank Pod 連結的正確氣體(如果使用多種氣體潛水)。
- 請務必確認氣瓶大小正確,以啟用正確的氣體消耗計量。
返回主功能表,您會在 Tank POD 功能表下方看到 Tank POD 序號。

或是,您也能從 氣體 選單 連結 Suunto Tank POD:
- 在 氣體 選單中選擇您想要與 Tank Pod 連結的氣體。
- 前往 編輯氣體 畫面,然後捲動至 Tank POD 設定。
確保 Tank POD 已啟用且在範圍內。從列表中選擇您的 Tank POD 序號。

如果您已將同一個 Tank Pod 與多種氣體連結,請記得在潛水前檢查您是否有正確的當前使用氣體,並且您的 Tank Pod 已連結。在潛水主要檢視畫面中,只會顯示一個氣瓶壓力並對應當前使用氣體。
若有多位潛水人員使用 Tank POD,請務必在您潛水前檢查,確認您選擇的氣體 POD 編號是否符合您 POD 上的序號。
您可以在金屬底座以及 Tank POD 的蓋子上找到序號。
對於其他 Tank POD,請重複以上程序,並為每個 POD 選擇不同的氣體。
欲取消連結並從特定氣體移除 Tank POD:
從 氣體 選單選擇您想移除 Tank POD 的氣體:
選擇您要移除的 Tank POD(檢查序號)。
您已從所選的氣體列表移除 Tank POD。
您也可以從 Tank POD 選單取消連結 Tank POD :
您只能在 Tank POD 啟用和傳輸後取消連結。
請務必使用備份類比潛水壓力錶作為氣瓶壓力資訊的備份來源。
請參閱產品附帶說明中 Suunto Tank POD 相關資訊。
氣瓶壓力
將 Suunto Ocean 連結到 Suunto Tank POD 後,您可以在切換視窗中和氣瓶壓力畫面中的拱形上跟蹤氣瓶壓力。了解氣瓶壓力如何顯示在拱形上,請參閱 潛水期間的重要資訊 。
以下示例顯示了不同的氣瓶壓力:
氣瓶壓力為 125 bar

氣瓶壓力為 50 bar:

額外氣瓶壓力警報設定為 100 bar :

若您未配對 Suunto Tank POD,切換視窗氣瓶壓力將會顯示無 Tank POD。若 Tank POD 已配對但未收到資料,欄位會顯示- -。這可能是因為 POD 不在範圍內、氣瓶關閉或 POD 電池電量低。
LED 燈可能會干擾氣瓶壓力訊號。
氣體消耗
您可以從手錶螢幕上的切換視窗追蹤潛水期間的實際氣壓。您也可以在裝置和 Suunto 應用程式的潛水摘要中查看潛水的平均氣體消耗。
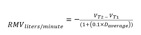
螢幕上的 氣體消耗 數據是指您在潛水期間的即時氣體消耗率。Suunto Ocean 使用呼吸分鐘容積(RMV)計算您的個人呼吸頻率,,這是您肺部每分鐘經歷的氣體體積,以 升/分 或測量 立方英尺/分。如需精確的氣體消耗,您需要在 編輯氣體 選單中定義正確的氣瓶大小。請參閱 編輯氣體。預設氣瓶大小永遠為 12 公升(80 立方英呎)。


Suunto Ocean 用於計算潛水期間氣體消耗的 RMV 公式如下:
計算是基於實際深度和平均使用氣體體積(以大氣壓力為單位),在50 – 170 秒的變化窗口內計算。

| Vgas (liters) | 以大氣壓力為單位的氣體體積 |
| RMV公升/分 | 深度補償 SAC |
| T1 | 窗口開始的時間 |
| T2 | 窗口結束的時間 |
| Depth (T) | 深度 |
| VT1 | 窗口開始時的 Vgas (公升) |
| VT2 | 窗口結束時的 Vgas(公升) |
| Daverage | 窗口內平均深度 |
Suunto Ocean 使用以下公式計算氣體體積:

您可以在潛水摘要中查看潛水後的平均氣體消耗量。該值顯示平均氣體消耗值,由潛水時的所有氣體消耗值計算得出。
由於即時消耗值是以時間窗內收集的資料為基礎,因此氣體消耗值可能不會在潛水開始時立即計算。由於使用低壓軟管控制 BCD 或潛水衣的浮力,數值也可能會更高。
氣體計算也會考慮到氣體的可壓性和溫度變化,以提供更精確的數值。
氣體時間
切換視窗中的 氣體時間 值表示您可以停留在目前深度並上升到水面(以 10 公尺/分鐘的速度)的最大時間(以分鐘為單位),結束壓力為 35 bar(508 psi)。此時間以氣瓶壓力值、氣瓶大小和您目前的呼吸率與深度為基準決定。

氣體時間使用以下公式進行計算:

安全停留和減壓停留不包含在 氣體時間 計算中。