Suunto Nautic 用户指南
目录
目录
耗气量
您可以从设备屏幕上的切换窗口跟踪潜水过程中的实际气体压力。您还可以在设备和 Suunto App 的潜水摘要中查看潜水的平均耗气量。

屏幕上的 耗气量 数据是指您在潜水过程中的实时气体消耗率。Suunto Nautic 使用呼吸分钟容积 (RMV) 计算您的个人呼吸频率,该容积是您肺部每分钟经历的气体体积,单位为 升/分 或 立方英尺/分。为了确保准确耗气量,需要在 编辑气体 菜单中为气体定义正确的气罐容积。请参阅 编辑气体。默认气瓶尺寸始终是 12 升(80 立方英尺)。
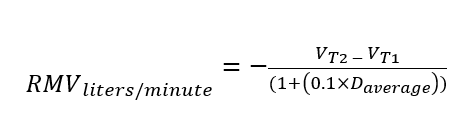
Suunto Nautic 用于计算潜水期间耗气量的 RMV 公式如下:
计算基于实际深度和在不同 50 – 170 秒窗口内计算的平均用气量(以大气压力计算)。

| Vgas (liters) | 大气压力下的气体体积 |
| RMVliters/minute | 深度补偿后的 SAC |
| T1 | 窗口开始时的时间 |
| T2 | 窗口结束时的时间 |
| 深度 (T) | 深度 |
| VT1 窗口开始时的 |Vgas (liters) | |
| VT2 窗口结束时的 |Vgas (liters) | |
| Daverage | 窗口里的平均深度 |
Suunto Nautic 使用以下公式计算气体体积:

您可以在潜水摘要中看到潜水后的平均耗气量。该数值显示了潜水期间根据所有耗气量计算的平均耗气量。
注释:
由于实时消耗值是基于在时间窗口内收集的数据,因此在潜水开始时可能不会立即生成耗气量。由于使用低压软管来控制 BCD 或潜水衣的浮力,数值也可能会更高。
注释:
气体计算还考虑了气体压缩性和温度变化,以提供更准确的值。